The Rotational Viscometer (RV) (Figure 207 and Figure 2) is used to determine the viscosity of asphalt binders in the high temperature range of manufacturing and construction. This measurement is used in the Superpave PG asphalt binder specification. The RV test can be conducted at various temperatures, but since manufacturing and construction temperatures are fairly similar regardless of the environment, the test for Superpave PG asphalt binder specification is always conducted at 275°F (135°C).
Figure 207: Rotational Viscometer (RV)
The RV test helps ensure that the asphalt binder is sufficiently fluid for pumping and mixing (Roberts et al., 1996[1]).
The basic RV test measures the torque required to maintain a constant rotational speed (20 RPM) of a cylindrical spindle while submerged in an asphalt binder at a constant temperature. This torque is then converted to a viscosity and displayed automatically by the RV.
The standard Rotational Viscometer procedure is found in:
The viscosity of asphalt binder at high manufacturing and construction temperatures (generally above 275°F (135°C)) is important because it can control the following:
The RV (Figure 208) gives a rapid and reproducible measurement of high temperature viscosity which correlates closely with the more traditional, but time-consuming, glass capillary viscometer method.
Figure 208: RV with spindle lowered into the sample chamber.
The rotational viscometer senses torque required to rotate a spindle at constant speed while immersed in the sample fluid. Dynamic viscosity is proportional to this measured torque.
The standard RV is quite common in chemical and food industries for measuring the viscosity of non-Newtonian fluids. Typical uses include:
There are several different methods typically used for measuring viscosity besides the RV. Each one has appropriate uses but each also has significant weaknesses when applied to asphalt binder:
Figure 209:Capilary viscometer tubes.
The RV provides for a wide range of temperatures, works with non-Newtonian fluids (like asphalt binder), works for opaque fluids, is relatively quick, and works for modified asphalt binders. Therefore, the Superpave PG asphalt binder specification uses the RV for high temperature viscosity measurement.
The following description is a brief summary of the test. It is not a complete procedure and should not be used to perform the test. The complete procedure can be found in:
The basic RV test measures the torque required to maintain a constant rotational speed (20 RPM) of a cylindrical spindle while submerged in an asphalt binder at a constant temperature (typically 275°F (135°C)). This torque is converted to a dynamic viscosity and displayed automatically by the RV. Figure 210 shows the major equipment involved.
Figure 210: Major RV equipment.
1.5 hours from sample preparation to final viscosity reading for one temperature. 2.5 hours for two temperatures.
Heating time should be minimized to avoid oxidative hardening and volatile loss that will further harden the sample. (AASHTO, 2000c).
Figure 211: Pouring a RV sample into the sample chamber.
Figure 212: RV sample chambers and spindles.
Dynamic (or absolute) viscosity.
Table 20: Performance Graded Asphalt Binder RV Specification
| Material | Value | Specification | Property of Concern |
|---|---|---|---|
| Unaged binder | Dynamic viscosity | ≤ 3 Pa•s | Pumping, mixing and workability |
RV viscosities depend upon the material measured and the test temperature. Superpave testing is done at 275°F (135°C) and typical dynamic viscosity values for asphalt binders at this temperature are 0.2 to 2 Pa·s. The Asphalt Institute recommends using a value of about 0.28 Pa·s for compaction temperatures. At high in-service pavement temperatures (e.g. on a hot summer day of 140°F (60°C)) dynamic viscosity can be around 200 Pa·s. Some representative dynamic viscosities are:
Calculations (see Interactive equation)
Most RVs provide a viscosity readout in centipoise (cP) or Pascal-seconds; the operator is not required to make any complex calculations. At most, the operator may have to covert cP to Pa·s using:
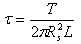
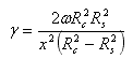
The basic equations used to calculate viscosity from torque and speed (expressed in terms of angular speed) are:


Where:
Typically, the RV simplifies this calculation by measuring torque in percent (0 to 100), dividing it by RPM and then multiplying it by a series of constants determined by the spindle used. This procedure is what the interactive equation shows.